Условие:
Исследовать непрерывность функции в точках x1, x2. Установить типы разрывов, построить график:


Исследовать непрерывность функции в точках x1, x2. Установить типы разрывов, построить график:

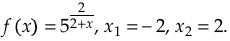
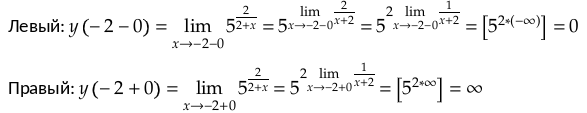
1) D (y) :x=-2
2) Функция элементарная, непрерывная в D (y):x = -2. При x1 = -2 терпит разрыв, так как неопределенна.

Один из пределов , то есть x1 = -2 р...
Не нашел нужную задачу?