Условие:
Установить тесноту взаимосвязи между показателями Х и У при помощи коэффициента корреляции Спирмена.

Решение:
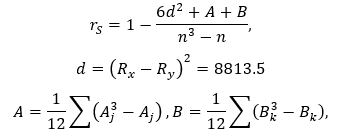
Коэффициента корреляции Спирмена вычисляется по формуле:

j - номера связок по порядку для признака х;
- число одинаковых рангов в j-й связке по х;
k - номера связок по порядку для признака у;
- число оди...
