Условие:
В треугольнике ABC с вершинами A(-3;6), B(5;0), C(-6,2) найти: длину медианы AM, уравнение высоты AR, площадь треугольника ABC.

В треугольнике ABC с вершинами A(-3;6), B(5;0), C(-6,2) найти: длину медианы AM, уравнение высоты AR, площадь треугольника ABC.
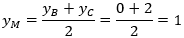
1) Найдем координаты точки M - середины BC , по формуле деления отрезка пополам.
