Условие:
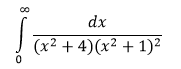
Вычислите несобственный интеграл

с помощью вычетов.

Вычислите несобственный интеграл

с помощью вычетов.
Подынтегральная функция является четной, поэтому представим данный несобственный интеграл в виде интеграла по замкнутому контуру в комплексной плоскости:

Найдем все корни уравнения
