Условие:
Составить структурную схему и найти передаточную функцию системы автоматического управления скоростью электрического двигателя с тахогенераторной обратной связью. Функциональная схема системы имеет вид, изображенный на рисунке 6.


Составить структурную схему и найти передаточную функцию системы автоматического управления скоростью электрического двигателя с тахогенераторной обратной связью. Функциональная схема системы имеет вид, изображенный на рисунке 6.

Математические модели составных частей системы.
Задающий элемент представляет собой делитель напряжения ДН, он задает напряжение u3 , которое определяет требуемое значение угловой скорости при значениях напряжении питания uп и моменте нагрузки Мн на двигателе.
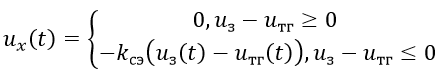
Сравнивающий элемент (СЭ) реализован на операционном усилителе и вырабатывает сигнал ошибки ux

или
ux(t)=-kcэ(uз(t)-uтг(t))
где kсэ ...