Условие:
Выполнить анализ КС, представленной на рис.1.1.


Выполнить анализ КС, представленной на рис.1.1.

Схема выполнена правильно. КС содержит четыре входа (х1, х2, х3 х4) и два выхода (у1, у2) . СЭС представлена на рис.1.2.

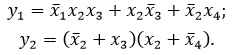
Записываем логические выражения выходов:

Функция у1 записана в ДНФ. Запишем...
Не нашел нужную задачу?