Условие:
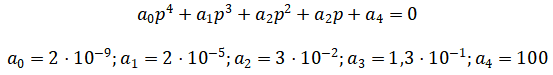
Определить устойчивость системы по теореме Ляпунова, по критерию Гурвица и по критерию Рауса, если её характеристическое уравнение имеет вид:


Определить устойчивость системы по теореме Ляпунова, по критерию Гурвица и по критерию Рауса, если её характеристическое уравнение имеет вид:

1. По критерию Ляпунова
Код Matlab:

Результат выполнения:
ans = 1.0e+03 *
-8.1634 + 0.0000i
-1.8345 + 0.0000i
-0.0011 + 0.0578i
-0.0011 - 0.0578i
Корни характеристическ...