Условие:
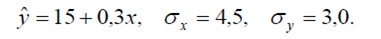
Регрессионная зависимость объема продаж у от расходов на рекламу х по 15 предприятиям объединения записывается в виде:

Определить коэффициент детерминации, построить таблицу дисперсионного анализа и определить значимость уравнения регрессии на уровне 0,05.


