Условие:
В таблице приведены данные, отражающие спрос на некоторый товар за семилетний период (усл. ед.). Найти уравнение тренда для временного ряда, полагая тренд линейным.


В таблице приведены данные, отражающие спрос на некоторый товар за семилетний период (усл. ед.). Найти уравнение тренда для временного ряда, полагая тренд линейным.

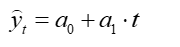
Найдем уравнение тренда для временного ряда, полагая тренд линейным.

Параметр a1 называют линейным приростом, параметр a2 - ускорением роста,
1...