Условие:
Имеются данные за 2011 – 2015 гг. (табл. 2.1.)
Таблица 2.1.
Исходные данные

Построить модель вида:

Рассчитав соответствующие структурные элементы

Имеются данные за 2011 – 2015 гг. (табл. 2.1.)
Таблица 2.1.
Исходные данные

Построить модель вида:

Рассчитав соответствующие структурные элементы
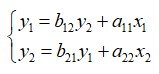
Запишем структурную модель:

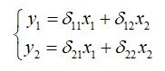
Система приведенных уравнений имеет вид

Определить коэффициенты приведенной формы модели.
Не нашел нужную задачу?