Условие:
Сравните варианты наиболее выгодного инвестирования, проведите по получаемой наибольшей сумме средней прибыли (
) с учетом рискованности хозяйственных ситуаций используя формулы 1 и 2:
(1)
(2)
где ni – количество случаев получения одного и того же i-го финансового результата;
N – суммарный объем выборки, состоящей из всех рассматриваемых случаев, сумма всех ni по своему варианту;
Пi – возможный вариант полученного финансового результата (размер прибыли или убытка);
Рi – вероятность (частота) получения i – го финансового результата.
Сделайте вывод, в котором экономически обоснуйте сделанный выбор. При этом необходимо иметь в виду; чем больше диапазон между максимальным и минимальным значениями прибыли (убытка) при равной вероятности их получения, тем выше степень риска.
Для принятия более достоверного решения по результатам выполненного расчёта суммы средней прибыли (
) необходимо определить три критерия, характеризующих степень риска – колеблемость (волатильность, изменчивость) возможного результата (прибыли или убытка).
Для этого надо:
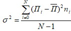
1) сначала рассчитать два критерия для предприятий А и Б: дисперсию и среднеквадратическое отклонение по формулам 3 и 4:
(3)
(4)
где Пi – ожидаемое значение прибыли (убытка) для каждого случая наблюдения;
- среднее ожидаемое значение прибыли (убытка, формула 2).
ni – количество случаев получения одного и того же i-го финансового результата;
N – суммарный объем выборки, состоящей из всех рассматриваемых случаев, сумма всех ni по своему варианту
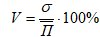
2) определить относительный критерий, с помощью которого можно сравнить рискованность вложения капитала в инвестиционный проект. Таковым является коэффициент вариации V, который изменяется от 0 до 100%. Чем больше значение коэффициента, тем больше колеблемость прибыли и больше вероятность ее изменения в меньшую сторону. Его рассчитывают по формуле 5:
(5)
где V – коэффициент вариации, выраженный в процентах, рассчитывается для предприятия А и предприятия Б.
Для правильного вывода установлена следующая качественная оценка различных значений коэффициента вариации:
- до 10% - слабая колеблемость (минимальный риск вложения капитала);
- от 10 – 25% - умеренная колеблемость (средний риск вложения капитала);
- свыше 25 % - высокая колеблемость (высокий риск вложения капитала).
Таблица 1


) с учетом рискованности хозяйственных ситуаций используя формулы 1 и 2:
(1)