Условие:
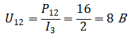
Мощность, потребляемая цепью Р 115,2 Вт, мощность на участке 1-2 Р=16 Вт, ток I3=2 A, сопротивление резистора R3=12 Ом, отношение токов I2:I1=4:1.
Определить сопротивления резисторов R1, R2, R4, токи в ветвях, входное напряжение. Составить баланс мощностей.

