Для однофазной электрической, цепи переменного тока (рис. 4.1) рассчитать:
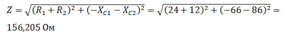
1) Полное сопротивление цепи:
2) Ток в цепи:
3) Активная,...
В схеме замещения цепи имеются источники ЭДС Е, внутренние сопротивления и сопротивления приемников электрической энергии.
Электроника, электротехника, радиотехника
Осуществить структурные преобразования и определить передаточную функцию следующей системы: Упростим схему и сведём её к одноконтурной.
В схеме (рисунок 1) ключ К1 замыкается в момент времени t = 0, а ключ К2 – спустя время t1 после замыкания ключа К1. Определить значение указанного в индивидуальном задании тока или напряжения
Не нашел нужную задачу?
GPT бот для написания реферата
Нейронка для генерации проектных работ
Нейронка для решения задач
Нейронка для решения задач по фото
Нейронка для генерации научных статей
Нейронка для отчёта по практике
Нейронка для помощи с курсовой
Нейронка для решения физики по фото
Нейронка для генерации списков литературы
Нейронка для решения задач по математике