Условие:
Газ расширился изотермически так, что его объем возрос в 5 раз, а энтропия увеличилась на 150 Дж/К. Найти количество вещества.

Газ расширился изотермически так, что его объем возрос в 5 раз, а энтропия увеличилась на 150 Дж/К. Найти количество вещества.
Дано:
T=const

S=150 Дж/К
Найти: v-?
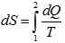
Изменение энтропии при переходе из состояния 1 в состояние 2 определяется формулой:
(1)
Работа газа в изотермическом процессе:
(2)
Не нашел нужную задачу?