Условие:
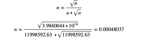
В качестве исходных данных студент использует элементы орбиты 
в момент времени t1=0, вычисленные в задании №2. Требуется на заданный момент времени t=t1+3h вычислить прямоугольные координаты X, Y, Z и составляющие скорости
искусственного спутника Земли.


