Условие:
Определить коэффициент открытой пористости образца породы по данным приведенным в табл. 2 (данные измерений открытой пористости получены весовым методом).
Таблица 2 (вариант № 5)


Определить коэффициент открытой пористости образца породы по данным приведенным в табл. 2 (данные измерений открытой пористости получены весовым методом).
Таблица 2 (вариант № 5)

Дано:
Рс= 20 г
Рк = 22,4 г
Рк.к. = 16,7 г
рк = 716 кг/м3
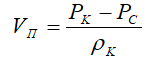
1) Определяем объем открытых взаимосвязанных пор:
![]()
Рс - вес сухого образца на воздухе,
Рк - вес на воздухе образца, насыщенного керосином,
рк - плотность ке...