Условие:
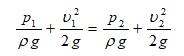
По горизонтальному трубопроводу переменного сечения движется вода. Из бачка А по трубке, подведенной к трубопроводу, поступает краситель, имеющий плотность ρ = 1300 кг/м3. Определить расход воды в трубопроводе, при котором прекратится подача красителя. Уровень красителя в бачке H = 0,5 м, диаметр трубопровода в широком сечении d1 = 150 мм, в узком – d2 = 100 мм, избыточное давление воды в широком сечении трубопровода составляет р1 = 30 кПа. Потерями напора пренебречь.



