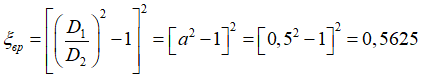
Условие:
Вязкая жидкость при турбулентном режиме, отвечающем области квадратичного сопротивления, протекает через резкое расширение трубопровода с отношением диаметров, равным а = D2 / D1. Найти длину участка, эквивалентного по потерям напора: а) трубе меньшего диаметра; б) трубе большего диаметра.

