Условие:
B соответствии c программой стимулирования отечественных и иностранных инвестиций была приобретена лицензия на производство наукоемкой продукции на срок 8 лет. Ожидаемый объем производства продукции и затраты на нее приведены в таблице:

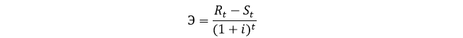
Рассчитать эффект, эффективность и срок окупаемости капитальных вложений.

