Условие:
Определить наиболее выгодный из представленных в таблице вариантов проектов по показателю ЧДД, при ставке дисконтирования - 20 %.

При этом за первые два года доход по проекту поступает в конце года, а за остальные годы в начале года.

Определить наиболее выгодный из представленных в таблице вариантов проектов по показателю ЧДД, при ставке дисконтирования - 20 %.

При этом за первые два года доход по проекту поступает в конце года, а за остальные годы в начале года.
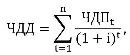
Чистый дисконтированный доход рассчитывается по формуле:

где ЧДПt сумма чистого денежного потока по отдельным интервалам ...
Не нашел нужную задачу?