Условие:
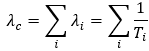
Система состоит из N = 3 блоков, средняя наработка до первого отказа которых равна
. Для блоков справедлив экспоненциальный закон надёжности. Требуется найти среднюю наработку до первого отказа системы


Система состоит из N = 3 блоков, средняя наработка до первого отказа которых равна
. Для блоков справедлив экспоненциальный закон надёжности. Требуется найти среднюю наработку до первого отказа системы


Не нашел нужную задачу?