Условие:
Если предприятие «Самоцветы» из задания 1 будет испытывать дефицит наличных средств, то какой вариант будет выгоднее для предотвращения кассовых разрывов?
- обратиться в банк за получением кредита под 25 % годовых;
- применить скидку на товар на следующих условиях: 2/5, net 20.
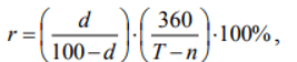
Определите максимально возможную величину скидки при существующих условиях.
