Условие:
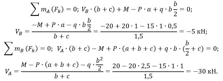
Для заданной схемы балки построить эпюры для поперечной силы и изгибающего момента и определить максимальное касательное напряжение, если а = 1 м, b = 1,0 м, с = 0,5 м, q = 15 кН/м, Р = 20 кН, М = 20 кНм, сечение − квадрат с отверстием в виде квадрата.



