1. Главная
  2. Библиотека
  3. Теория вероятностей
  4. Доказать, что для любых событий Ak  (k равно 0,1,…n) сп...
Решение задачи на тему

Доказать, что для любых событий Ak  (k равно 0,1,…n) справедливо равенство: Для доказательства воспользуемся обобщенной формулой вероятности суммы событий.

  • Теория вероятностей
Доказать, что для любых событий Ak  (k равно 0,1,…n) справедливо равенство: Для доказательства воспользуемся обобщенной формулой вероятности суммы событий.

Условие:

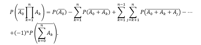
Доказать, что для любых событий Ak  (k=0,1,…n) справедливо равенство:

Решение:

Доказательство

Воспользуемся обобщенной формулой вероятности суммы событий:

Не нашел нужную задачу?

Воспользуйся поиском

Выбери предмет