Условие:
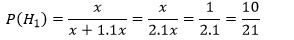
Два станка-автомата производят однотипные детали, которые вместе хранятся на складе. Станки работают одинаковое время. Производительность 2-го станка на 10% выше производительности 1-го. Вероятность изготовления стандартной детали на 1-м станке равна 0,95, а на 2-м - 0,9. Какова вероятность того, что наудачу взятая со склада деталь оказалась стандартной? Какова вероятность того, что деталь изготовлена на 2-м станке, если при проверке она оказалась стандартной?

