Условие:
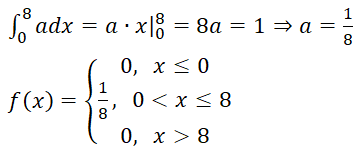
Плотность распределения вероятностей непрерывной случайной величины задана выражением:
Найти величину коэффициента a, написать аналитическое выражение и построить график функции распределения, найти математическое ожидание, дисперсию и среднее квадратическое отклонение данной случайной величины. Найти вероятности попадания данной случайной величины в интервалы (4;6) и (6;10).
