Условие:
Система S может находиться в 4-х состояниях. В системе протекает марковский процесс с непрерывным временем, интенсивности простейших потоков, переводящих систему из состояния в состояние, указаны на размеченном графе:

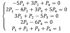
Записать систему алгебраических уравнений и найти предельные вероятности состояний.

