Условие:
Случайная величина
задана функцией распределения
. Найти: плотность распределения
математическое ожидание, дисперсию, среднеквадратическое отклонение, вероятность
Построить графики функций 


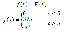
Случайная величина
задана функцией распределения
. Найти: плотность распределения
математическое ожидание, дисперсию, среднеквадратическое отклонение, вероятность
Построить графики функций 

Плотность распределения вероятностей:

Математическое ожидание:

Дисперсия: