Условие:
Для цилиндрической стенки, имеющей три слоя футеровки (рис.1), необходимо рассчитать:
- погонную плотность теплового потока;
- количество теплоты, которое теряется через всю цилиндрическую стенку длиной l;
- значения температур на границе слоев.
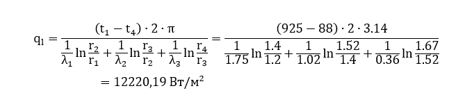
Температура внутренней поверхности t1 равна 925°С, а температура наружной поверхности t4 = 88°С. Радиусы, характеризующие расположение слоев футеровки относительно оси цилиндра, равны соответственно r1 = 1,2 м; r2 = 1,4 м; r3 = 1,52 м; r4 = 1,67 м. Коэффициенты теплопроводности материалов, Вт/(м*К), из которых выполнены слои футеровки, равны: λ1 = 1,75; λ2 = 1,02; λ3 = 0,36. Длина печи l = 3,3 м.

Рис. 1. Многослойная цилиндрическая стенка

