Условие:
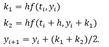
Численно решить задачу Коши для обыкновенного дифференциального уравнения 1-го порядка
на отрезке [t0,T] с шагом h=0,2: а) методом Эйлера; б) методом Рунге-Кутты 2-го порядка с оценкой погрешности по правилу Рунге. Найти точное решение задачи. Построить на одном чертеже графики точного и приближенных решений.



