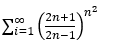
Исследовать на сходимость числовой ряд
Применим радикальный признак Коши.
даны две матрицы и . Найти: а) произведение матриц б) в) обратную матрицу г) произведение матриц д) произведение матриц е) 2A-4B
Высшая математика
Вычислить нормы ||.||1 , ||.||E , ||.|| матрицы А и нормы ||.||1 , ||.||2 , ||.|| вектора b. Нормы матрицы А: Нормы вектора b:
Не нашел нужную задачу?
GPT бот для написания реферата
Нейронка для генерации проектных работ
Нейронка для решения задач
Нейронка для решения задач по фото
Нейронка для генерации научных статей
Нейронка для отчёта по практике
Нейронка для помощи с курсовой
Нейронка для решения физики по фото
Нейронка для генерации списков литературы
Нейронка для решения задач по математике