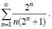
Исследовать сходимость ряда
Сравним этот ряд с гармоническим рядом
Осветительную лампу напряжением UЛ =24 В и мощностью Р = 25 Вт необходимо включить в сеть переменного тока с напряжением U = 220 В и частотой f = 50 Гц. Определить емкость конденсатора последовательно включенного с лампой, чтобы она не перегорала
Высшая математика
Имеется 156 трёхлитровых банок с морковным соком и столько же литров яблочного сока в двухлитровых банках. Сколько всего банок с яблочным соком?
Четыре одинаковые металлические пластины расположены в воздухе на одинаковом расстоянии друг от друга. Площадь каждой пластины равна . Найти разность потенциалов системы между точками А и В (пластины 2 и 4), если пластины 1 и 3 соединены.
GPT бот для написания реферата
Нейронка для генерации проектных работ
Нейронка для решения задач
Нейронка для решения задач по фото
Нейронка для генерации научных статей
Нейронка для отчёта по практике
Нейронка для помощи с курсовой
Нейронка для решения физики по фото
Нейронка для генерации списков литературы
Нейронка для решения задач по математике