Условие:
Найдите общее решение дифференциального уравнения (или хотя бы общий интеграл). б) Решите задачу Коши.


Найдите общее решение дифференциального уравнения (или хотя бы общий интеграл). б) Решите задачу Коши.


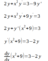
Получили уравнение с разделяющимися переменными: