Условие:
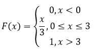
Дана функция распределения случайной величины Х:

Найдите плотность вероятности f(x), постройте графики f(x) и F(x), вычислите математическое ожидание M[X] и дисперсию D[X].

Дана функция распределения случайной величины Х:

Найдите плотность вероятности f(x), постройте графики f(x) и F(x), вычислите математическое ожидание M[X] и дисперсию D[X].
Найдем плотность распределения f(x), как производную от функции распределения F(x):

Вычислим треб...