Найдите сумму корней уравнения
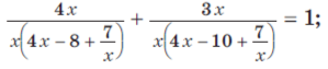
Так как x = 0 не является корнем данного уравнения, то запишем уравнение
в виде
Записать разложение выражения, используя формулу бинома и треугольник Паскаля.Записать разложение выражения, используя формулу бинома и треугольник Паскаля.
Высшая математика
Не нашел нужную задачу?
GPT бот для написания реферата
Нейронка для генерации проектных работ
Нейронка для решения задач
Нейронка для решения задач по фото
Нейронка для генерации научных статей
Нейронка для отчёта по практике
Нейронка для помощи с курсовой
Нейронка для решения физики по фото
Нейронка для генерации списков литературы
Нейронка для решения задач по математике