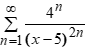
Найти область сходимости ряда:
Воспользуемся признаком Даламбера:
Ряд сходится, если
Вычислить площадь фигур ограниченных линиями: Найдем площадь фигуры, ограниченной кривой, заданной параметрическим уравнением.
Высшая математика
Вычислить определитель, сведя к определителю 2-го порядка: Вычисляем полученный определитель: 3 · (1·0 – 1·(–5/3)) = 5.
Вычисляем полученный определитель: 3 · (1·0 – 1·(–5/3)) = 5.
На м предприятиях выпускается некоторый продукт. Себестоимость единицы этого продукта на каждом из указанных предприятий есть си=аи+дх
Не нашел нужную задачу?
GPT бот для написания реферата
Нейронка для генерации проектных работ
Нейронка для решения задач
Нейронка для решения задач по фото
Нейронка для генерации научных статей
Нейронка для отчёта по практике
Нейронка для помощи с курсовой
Нейронка для решения физики по фото
Нейронка для генерации списков литературы
Нейронка для решения задач по математике