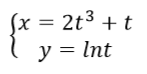
Найти производную dy/dx
У Пети было 5000 рублей. Он истратил 30% своих денег, а потом положил оставшуюся сумму в банк под годовых. Сколько денег будет у Пети через год?
Высшая математика
Записать число в тригонометрической и показательной форме.
Заданы векторы . Найти: ) координаты орта ; б) координаты вектора ; в) разложение вектора по базису ; г) .
Не нашел нужную задачу?
GPT бот для написания реферата
Нейронка для генерации проектных работ
Нейронка для решения задач
Нейронка для решения задач по фото
Нейронка для генерации научных статей
Нейронка для отчёта по практике
Нейронка для помощи с курсовой
Нейронка для решения физики по фото
Нейронка для генерации списков литературы
Нейронка для решения задач по математике