1. Главная
  2. Библиотека
  3. Высшая математика
  4. Найти собственные числа и собственные вектора матрицы А...
Решение задачи на тему

Найти собственные числа и собственные вектора матрицы А. найдем собственный вектор. Для каждого найдем собственный вектор. Для каждого найдем собственный вектор.

  • Высшая математика
Найти собственные числа и собственные вектора матрицы А. найдем собственный вектор. Для каждого  найдем собственный вектор. Для каждого  найдем собственный вектор.

Условие:

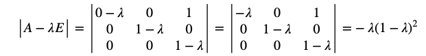
Найти собственные числа и собственные вектора матрицы А.

Решение:

Составим характеристическое уравнение

Для к...

Не нашел нужную задачу?

Воспользуйся поиском

Выбери предмет