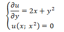
Подберите функцию u(x,y) , удовлетворяющую условиям:
a)
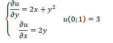
б)
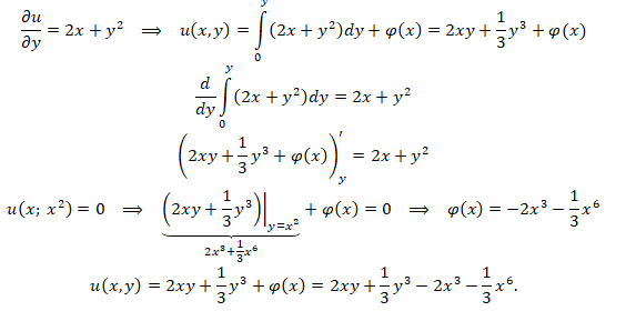
а)
проверка:
Даны три вектора. Найти модули всех векторов, проекцию вектора на вектор , косинус угла между векторами и вектор , если. Найдем модули векторов, применяя формулу
Высшая математика
Два спортсмена участвуют в отборочных соревнованиях. Вероятность зачисления в сборную команду первого и второго спортсменов соответственно равны 0,6 и 0,5. Найти вероятность того, что: а) два спортсмена попадут в сборную; б) хотя бы один из них попадет в
Цель: Знать правила и формулы дифференцирования и уметь применять их при исследовании и построении графиков функций. Исследуйте функцию и постройте ее график c) y=-2/3 x^2+x+2/3
Не нашел нужную задачу?
GPT бот для написания реферата
Нейронка для генерации проектных работ
Нейронка для решения задач
Нейронка для решения задач по фото
Нейронка для генерации научных статей
Нейронка для отчёта по практике
Нейронка для помощи с курсовой
Нейронка для решения физики по фото
Нейронка для генерации списков литературы
Нейронка для решения задач по математике