Условие:
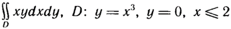
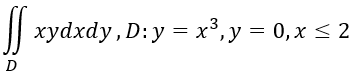
В задании «а» построить область интегрирования D, ограниченную указанными линиями и вычислить двойной интеграл.
В задании «б» построить область интегрирования и вычислить с помощью двойного интеграла объём тела, ограниченного заданными поверхностями и неравенствами.
а) 
б) ![]()

