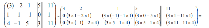
Решить систему методом Гаусса
Найти наибольшее и наименьшее значения функции в замкнутой области , ограниченной заданными линиями.Найти наибольшее и наименьшее значения функции в замкнутой области , ограниченной заданными линиями.
Высшая математика
Выяснить, существует ли для данной матрицы А обратная матрица.
Не нашел нужную задачу?
GPT бот для написания реферата
Нейронка для генерации проектных работ
Нейронка для решения задач
Нейронка для решения задач по фото
Нейронка для генерации научных статей
Нейронка для отчёта по практике
Нейронка для помощи с курсовой
Нейронка для решения физики по фото
Нейронка для генерации списков литературы
Нейронка для решения задач по математике