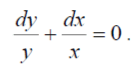
Решить уравнение
Данное уравнение является уравнением с разделенными переменными. Интегрируя, находим
Расстояние между городами А и В равно 905 км. Из города А в город В со скоростью 75 км/ч выехал первый автомобиль, а через три часа после этого навстречу ему из города В выехал со скоростью 95 км/ч второй автомобиль. На каком расстоянии от города А
Высшая математика
На мыльную пленку (n=1,3), находящуюся в воздухе, падает нормально пучок лучей белого света. При какой наименьшей толщине d пленки отраженный свет с длиной волны λ=0,55 мкм окажется максимально усиленным в результате интерференции?
Найти промежутки монотонности и исследовать функцию на экстремум: эф икс равно три икс в пятой степени минус пять икс в кубе плюс десять.
GPT бот для написания реферата
Нейронка для генерации проектных работ
Нейронка для решения задач
Нейронка для решения задач по фото
Нейронка для генерации научных статей
Нейронка для отчёта по практике
Нейронка для помощи с курсовой
Нейронка для решения физики по фото
Нейронка для генерации списков литературы
Нейронка для решения задач по математике