Условие:
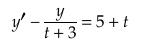
Решить задачу Коши для линейного уравнения


Решить задачу Коши для линейного уравнения

Сначала найдем общее решение дифференциального уравнения

методом Бернулли. Для этого решение будем искать в виде
y=u (t) v (t).
Подставляя в уравнение, получим

Функцию v=v (t) найжем из усло...