Условие:
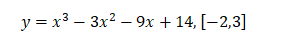
Найти наибольшее и наименьшее значения функции
на отрезке.


Найти наибольшее и наименьшее значения функции
на отрезке.

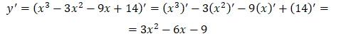
На первом шаге найдем стационарные точки. Найдем производную первого порядка заданной функции:

Решим уравнение 
Не нашел нужную задачу?