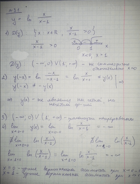
Условие:
Требуется исследовать две здланные функции (под номерами Nl и N, ) метолом Дифференциального исчисления и начертить их график. Для этого рекомендуется:
1. Найти область существования и точки разрыва функции, ее односторонние пределы в
этих точках.
2. Выяснить не является ли функция четной или нечетной.
3. Найти точки пересечения графлика функций с осями координат.
4. Найти точки экстремума и интервалы убывания и возрастания функции.
5. Найти точки перегиба и нтервалы выпуклости и вогнутости графика функции.
6. Опрелелить асимптоты графика функчии.
7. Построить график функции.
Если их окажется недостаточно, то следует найти еще несколько точек графика функции, исходя из уравнения линии.
![]()

