Условие:
Система эконометрических уравнений
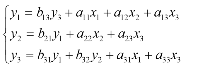
Дано: система одновременных уравнений:

Требуется:
1. Проверить идентификацию каждого уравнения и системы в целом.
2. Найти приведенную форму модели.

Система эконометрических уравнений
Дано: система одновременных уравнений:

Требуется:
1. Проверить идентификацию каждого уравнения и системы в целом.
2. Найти приведенную форму модели.
1) Проверим идентификацию каждого уравнения и системы в целом.
Модель представляет собой систему одновременных уравнений. Проверим каждое ее уравнение на идентификацию.
Модель включает три эндогенные переменные (y1, y2, y3 ) и три предопределенные переменные (x1, x2, x3 ).
Проверим необходимое условие идентификации для каждого из уравнений модели.
Если обозначить число эндогенных переменных в i-м уравнении системы через H, а число экзогенных (предопределенных) переменных, которые содержатся в системе, но не входят в данное уравнение через D, то условие идентифицируемости модели может быть з...
Не нашел нужную задачу?