Условие:
Расчет ступенчатого стержня на растяжение-сжатие.
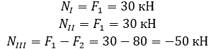
Для заданной расчетной схемы ступенчатого бруса построить эпюры продольных сил N, нормальных напряжений
, деформаций ε и определить перемещение заданного сечения.
Определить работу и потенциальную энергию деформации стержня.

Схема к задаче 1


