Условие:
Фасовочный автомат наполняет пакетики специями. Стандартный вес наполненного пакетика должен быть 50 г. Одним из показателей качества работы автомата является величина вариации весов пакетиков. Чтобы определить степень вариации была извлечена случайная выборка из 15 пакетиков с весами в граммах: 51,2; 47,5; 50,8; 51,5; 49,5; 51,1; 51,3; 50,7; 46,7; 49,2; 52,1; 48,3; 51,6; 49,2; 51,5.
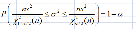
Вычислить 90% доверительный интервал для дисперсии. Предполагается, что веса пакетиков распределены нормально.
* решите задачу в Microsoft Excel

