Условие:
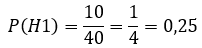
Из 40 деталей 10 изготовлены в первом цехе, 25 – во втором, а остальные – в третьем. Первый и третий цехи дают продукцию отличного качества с вероятностью 0,9, второй цех – с вероятностью 0,7.
Какова вероятность того, что взятая наудачу деталь будет отличного качества?

