Условие:
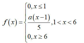
Плотность распределения имеет вид

Найти:
А) параметр α
Б) функцию распределения F (x)
В) Вероятность попадания в интервал (3.5; 7)
Г) математическое ожидание и дисперсию
Построить графики функций f(x) и F(x).

Плотность распределения имеет вид

Найти:
А) параметр α
Б) функцию распределения F (x)
В) Вероятность попадания в интервал (3.5; 7)
Г) математическое ожидание и дисперсию
Построить графики функций f(x) и F(x).
А) Константу найдем из условия

Значит,

Б) Найдем функцию распределения